scudderfish
|
| posted on 25/6/11 at 02:50 PM |
|
|
Alternator woes?
My car died yesterday reversing out of the garage. As I'd recently fitted an immobilizer, I first suspected that. I pulled my dash out and
started pulling the wiring apart. I simplified it down to a switch switching a relay which switched an LED. Sometimes it'd work, other times
it wouldn't. When it didn't, the battery side of the switch (and relay) would only read circa 3v. Switch it off and it'd read
12-13v. The positive terminal on the battery was always 12-13v. My battery is in the engine bay, but most of the car gets its power from a bus in
the scuttle that has a direct connection through the firewall. This bus goes to 3v. The only other connection at the battery terminal is the charge
feed from my alternator. I have a large fuse between the alt and the battery. If I pull that, I haven't got it to fail yet. To me, the finger
of suspicion is pointing at the alternator but I can't think why. If the alternator is pulling the battery voltage down, why does it only do it
when I flip my switch? The alt itself is about 100 miles old.
Regards,
Dave
|
|
|
|
|
Macbeast
|
| posted on 25/6/11 at 03:01 PM |
|
|
What does the relay do ? presumably it doesn't just switch an LED ?
I'm addicted to brake fluid, but I can stop anytime.
|
|
|
scudderfish
|
| posted on 25/6/11 at 03:05 PM |
|
|
Ultimately it will switch most of the good stuff on, but to eliminate variables, I've got it only lighting an LED. In the normal course of
things I realise a relay for an LED is overkill
|
|
|
daviep
|
| posted on 25/6/11 at 03:49 PM |
|
|
If the bus bar is coming down to 3v and the battery terminal is staying at 12v then it sounds like there is a bad connection between the bus bar and
the battery. If the bus bar is connected directly to the battery then they should show the same voltage all the time.
Have you reconnected the alternator and proved that the fault re-occcurs? I'm thinking that if you have disturbed the connections on the battery
when you removed the alt feed you may have inadvertantley cured the bad connection as well.
A diagram would be handy.
Cheers
Davie
“A truly great library contains something in it to offend everyone.”
|
|
|
jollygreengiant
|
| posted on 25/6/11 at 04:24 PM |
|
|
quote: Originally posted by daviep
If the bus bar is coming down to 3v and the battery terminal is staying at 12v then it sounds like there is a bad connection between the bus bar and
the battery. If the bus bar is connected directly to the battery then they should show the same voltage all the time.
Have you reconnected the alternator and proved that the fault re-occcurs? I'm thinking that if you have disturbed the connections on the battery
when you removed the alt feed you may have inadvertantley cured the bad connection as well.
A diagram would be handy.
Cheers
Davie
OR A bad earth.
Had an AA man condemn an alternator and battery once. All the car needed was the earth between the alternator and block tightening (a Vauxhall
Cavalier).
Beware of the Goldfish in the tulip mines. The ONLY defence against them is smoking peanut butter sandwiches.
|
|
|
scudderfish
|
| posted on 25/6/11 at 08:20 PM |
|
|
I'm suspecting a bad earth, but I'm puzzled as to how it is actually going wrong. It's irritatingly inconsistent, I've got
all the electrics running again as they should, but without changing anything, just putting it back together. Given that no fuses are popping and the
bus is dropping in voltage, it has to be the alternator/alternator wiring. I don't understand though why it only happens when I switch on a
circuit well downstream of it. I'll try and get a diagram together.
|
|
|
scudderfish
|
| posted on 26/6/11 at 10:04 AM |
|
|
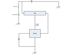
OK, I've got a couple of pictures. This is a simplified wiring diagram
  Bus Wiring
On flicking the switch to power the relay and light the light, the bus voltage can drop to 3v, and the relay doesn't work. If I pull the 50A
fuse to the alternator, I can't get it to fail.
The connections at the +ve terminal of the battery look like this
  Battery connections
The lead going all the way to the left powers the bus in the scuttle, the other goes to the 50A fuse just out of the top of the picture and then onto
the alt. The final fat cable going right is the feed to the starter.
|
|
|
daviep
|
| posted on 26/6/11 at 12:05 PM |
|
|
Having looked at your diagram I cannot see how the bus voltage could ever be different from the voltage at the battery terminal.
When the fault occurs can feel any connections or cables getting warm?
Are you checking your voltages against the negative terminal or are you using somewhere on the chassis?
Davie
“A truly great library contains something in it to offend everyone.”
|
|
|
scudderfish
|
| posted on 26/6/11 at 02:09 PM |
|
|
The only way I could see the voltage getting pulled down was if the alternator was shorting to earth. I was measuring relative to a point on the
chassis rather than the -ve terminal. No fuses were blowing, and no magic smoke released. Having said that, it was going wrong 3 times out of 4.
Now I can't get it to go wrong on the past 10+ power cycles. I'll have to keep my beady eye on it
|
|
|
scudderfish
|
| posted on 1/7/11 at 01:14 PM |
|
|
Just to follow up....
Turns out the bus bar was defective. It is a slab of aluminium with three of these bolted to it
However I had fitted them by only bolting at one end. Over time the other end drifted away from the al plate and the connection became very crap.
Three rivets in the opposite ends of each one seems to have sorted it all out, and cured another fault I had where the tacho was unreliable until the
alternator kicked in. Fingers crossed I've finally nailed my gremlins
Regards,
Dave
|
|
|